본 연구단의 2대 주요 연구주제인 저차원물질의 위상여기 연구는 일차원 전하밀도파계에 대한 솔리톤 위상여기 연구와 이차원 전하밀도파계에 대한 도메인월 위상여기 연구로 나뉘며, 후자의 경우 상호작용이 강한 이차원물질인 TaS2의 도메인월 위상여기에 대한 연구에 집중하여 왔다. 최근 3년간은 이를 더욱 확장하여 카이럴 전하밀도파가 발생한다고 알려진 TiSe2의 카이럴 도메인웰의 원자구조와 전자구조를 밝히기에 이르렀다. (Nano Letters 2024). 또한 최근 상호작용이 강한 이차원물질로서 준일차원적인 원자사슬 구조를 가지는 CuTe 단결정에서 새로운 전하밀도파 상전이가 보고되어는데, 이러한 준일차원계의 경우 솔리톤 위상여기와 매우 유사한 도메인월 위상여기가 발견될 가능성에 주목하여 STM을 활용한 연구를 시작하였다. 그 결과, 이 물질의 전하밀도파가 두가지 에너지가 서로 같은 구조로 나타난다는 새로운 사실을 발견하였으며 각각의 전하밀도파 진폭이 주기적으로 진동하는 힉스모드가 상으로 발생한다는 것을 발견하였다. 이러한 힉스모드는 1980년대에 이미 이론적으로 예측되는 바와 같이 솔리톤 도메인월의 주기적 배열과 합체되어 관찰되었다. 이론 그룹의 이론적인 해석을 통해 이러한 매우 특이한 현상이 두가지 에너지적으로 동일한 전하밀도파의 존재에 의한 추가적인 대칭성에 의해 기인함을 밝힐 수 있었다. 이러한 연구는 향후 이차원계의 도메인월 또는 솔리톤의 네트워크 연구에 중요한 참고자료라 될 것이다.

Figure. Scanning Tunneling Microscopy Observation of Periodic Oscillation modes of Two Charge Density Wave Amplitudes (Higgs modes) in CuTe
Recently discovered Higgs particle is a key element in the standard model of elementary particles and its analogue in materials, massive Higgs mode, has elucidated intriguing collective phenomena in a wide range of materials with spontaneous symmetry breaking such as antiferromagnets, cold atoms, superconductors, superfluids, and charge density waves (CDW). As a straightforward extension beyond the standard model, multiple Higgs particles have been considered theoretically but not yet for Higgs modes. Here, we report the direct observation of two Higgs modes coupled together with a soliton lattice in a solid. Our scanning tunneling microscopy reveals the 1D CDWstate of an anisotropic transition metal monochalcogenide crystal CuTe is composed of two distinct but degenerate CDW structures. More importantly, the amplitudes of each CDW structure oscillate in an out-of phase fashion to result in a regular array of alternating domains with repeating phase-shift domain walls. This unusual finding is explained by the extra degeneracy in CDWs within the standard Landau theory of the free energy. The novel properties of Higgs modes demonstrated here suggest that rich emerging physics may be possible through entanglements of collective modes in systems with spontaneous symmetry breaking.
이차원 전하밀도파의 도메인월 위상여기 연구는 본 연구단의 주요 연구 주제중 하나이다. 본 연구에서는 헤테로구조 갭리스 철계열 초전도체 Sr2VO3FeAs (Advanced Materials 36, 2404708, 2024)에 스핀전류 주입으로 초전도가 깨지며 철층에 생성된 이차원 스핀 질서에 의해 발현되는 표면 Z2 × Z2 위상 질서 도메인월의 연결 상태와 관련된 새로운 위상적인 물리량과 보존법칙을 제안한다. 이 Z2 × Z2 표면 구조에서의 도메인 벽은 스핀분극된 주사 터널링 전류에 의해 이동하며 위상적인 연결 상태도 변화 가능하다. 본 연구에서는 도메인 벽의 위상적으로 다양한 분기점의 가능성과 이들의 특정 위상 규칙을 따르는 병합, 분기, 쌍 생성, 소멸 등 원자 단위의 활발한 동역학을 관찰하였다. 이러한 동역학 과정에서 도메인 벽의 분기점에 정의된 위상 복소 전하의 곱이 새로운 경계-전하 대응(boundary-charge correspondence) 규칙에 따라 보존됨을 확인하였다. 본 결과는 솔리톤, 마요라나 페르미온, 스커미온과 같은 국소화된 위상 모드와 달리, 일반적인 Z2 × Z2 계에서 도메인 벽과 분기점 기반의 위상 전자공학(topological electronics) 개발에 새로운 가능성과 참고자료를 제공한다.

Figure. (a) Change of Topological connectivity by injection of spin-polarized tunneling current into a domain wall network of two-dimensional Z2xZ2 order formed on the surface of Sr2VO3FeAs. (b) Graphical derivation of Boundary-charge correspondence rule using Pauli matrices.
This research discusses a novel conserved quantity for topological domain wall networks of a Z2 × Z2 order generated by spin-polarized current in the heterostructured, gapless iron-based superconductor Sr2VO3FeAs. When superconductivity is suppressed by spin-current injection, a two-dimensional spin order emerges in the iron layer, manifesting a surface Z2 × Z2 topological order. In this structure, domain walls can be mobilized by spin-polarized scanning tunneling current, and the topological connectivity of the domain wall network can be dynamically altered. We observed, at atomic resolution, a rich variety of dynamic processes for domain wall vertices-including merging,bifurcation, pair creation, and annihilation-that follow specific topological rules. Through these dynamics, we confirmed that the product of topological complex charges (TCCs) defined at the domain wall vertices within any closed boundary is conserved, following a novel boundary -charge correspondence rule. Unlike localized topological modes such as solitons, Majorana fermions, and skyrmions, this conserved quantity and its associated dynamics offer new possibilities and reference points for developing topological electronics based on domain wall networks and vertices in generic Z2 × Z2 systems.
저차원 양자물질은 강한 양자 요동으로 인해 고전적 기대와는 전혀 다른 양자 현상을 발현하는 경우가 많다. 이러한 비고전적 양자 현상을 탐구하기 위한 적절한 물질군을 발굴하고 그 특성을 규명하는 것은 중요한 연구 주제 중 하나이다. 본 연구단은 1T-TaS2를 비롯한 다양한 1T-전이금속 칼코게나이드(1T-TMD) 물질의 전하 밀도파 관련 연구를 다수 수행해왔으며, 이러한 연구 경험을 바탕으로 단일 원자층 1T-TMD 물질이 가질 수 있는 새로운 전하 밀도파 구조를 제안하고, 이로부터 발현 가능한 다양한 양자 현상을 이론적으로 탐색하였다. 구체적으로, 단일 원자층 TaS2, TaSe2, NbS2, NbSe2의 전자 구조 및 스핀 모델을 구축하고, 평균장 이론 내에서 자기질서 상도표(magnetic phase diagram)를 계산하였다. 계산 결과, 스핀-궤도 결합의 세기 및 제2, 제3 이웃 스핀 간 상호작용이 상도표에 큰 영향을 미치는 것으로 나타났다. 특히, 단일층 TaS2는 고전적 자기질서가 우세한 반면, NbS2는 스핀 액체 상태에 매우 인접해 있으며, 약 1% 수준의 균일한 격자 변형이 가해질 경우 스핀 액체 상태로의 상전이를 유도할 수 있음을 확인하였다. 또한 TaSe2와 NbSe2는 모트 절연 상태에 Chern 위상 질서와 매우 큰 값의 스핀 홀 효과를 동반함을 보였다.

Figure. Atomic structures of the (a, c) conventional David star CDW in 1T-MX2. In (a), the central M atoms form the David star structure, and as shown in (c), the X atoms in the top and bottom layers share the same bonding network. In contrast, for the newly discovered CDW structure (b, d), the X atoms in the top and bottom layers possess different bonding networks, as illustrated in (d), which leads to the breaking of inversion symmetry.
Low-dimensional quantum materials often exhibit quantum phenomena that are entirely different from classical expectations due to strong quantum fluctuations. Identifying suitable material systems and elucidating their properties for exploring such non-classical quantum phenomena is one of the important research topics. In this context, previously we have conducted extensive studies on charge density waves (CDWs) in various 1T-phase transition metal dichalcogenides (1T-TMDs), including 1T-TaS2. Building on this experience, we proposed a new type of charge density wave structure without inversion symmetry that can emerge in monolayer 1T-TMD materials and theoretically explored a variety of emergent quantum phenomena. Specifically, we constructed the structural model, electronic structures and spin models for monolayer TaS2, TaSe2, NbS2, and NbSe2, and calculated their magnetic phase diagrams within mean-field theory. The calculations revealed that the strength of Rashba spin-orbit coupling and the second- and third-nearest neighbor spin-spin interactions have significant influence on the phase diagrams. In particular, while monolayer TaS2 tends to favor classical magnetic order, NbS2 is located very close to a spin liquid phase, and we found that applying a uniform strain of approximately 1% can induce a transition into the spin liquid state. Furthermore, we found that TaSe2 and NbSe2 exhibit Chern topological order and a giant spin Hall effect accompanied by strong electron-electron correlation.
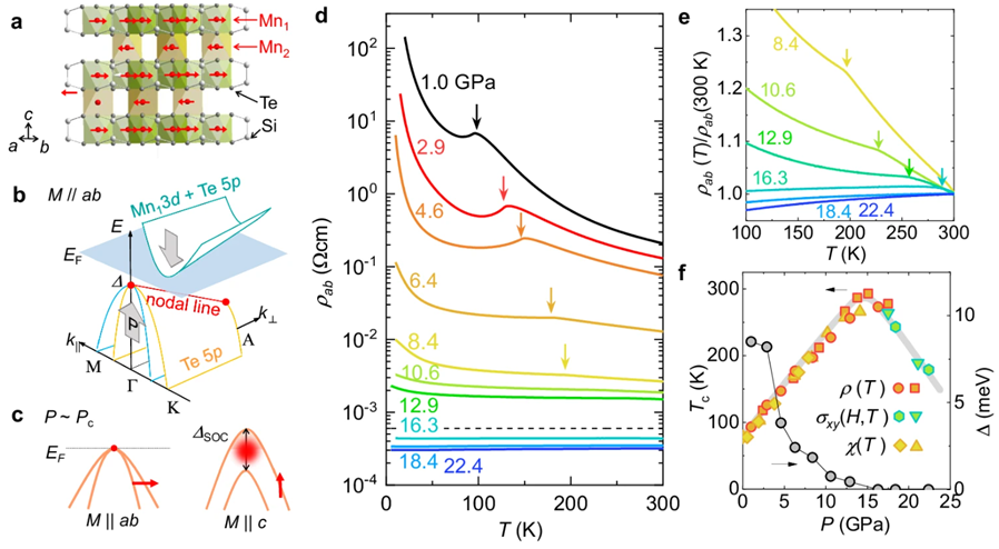
자기 정렬에 의한 대칭성으로 보호되는 밴드 축퇴는 위상 자성체에서 새로운 자발적 자기전도 현상구현하는 핵심 요소이다. 스핀 분극된 위상마디선 상태(spin-polarized nodal states)는 자성 상태 변화에 극도로 민감한 전자적 반응을 일으킨다고 알려져 있으나, 이들이 자기 기저 상태에 어떤 역할을 하는지는 아직 명확히 밝혀지지 않았다. 본 연구에서는 외부 압력을 조절 인자로 활용하여, 위상마디선 자성 반도체인 Mn3Si2Te6에서 위상마디선 상태(nodal-line state)가 페르미 준위를 교차할 때 금속-절연체 전이(metal-insulator transition), 스핀 재배향 전이(spin-reorientation transition), 그리고 구조적 변형이 동시에 일어나는 것을 확인하였다. 이와 같이 압력에 의해 유도된 독특한 자성 및 전자 전이는, 돔(dome) 형태의 임계 온도(T_c) 변동이 상온 수준까지 확장되는 현상과 관련이 있으며, 위상마디선 상태의 스핀 궤도 결합과 국소화된 스핀의 자기 쩔쩔맴(magnetic frustration) 상호작용에 기인한다. 이러한 결과는 위상마디선 전자상태가 페르미면 근처에 유일하게 있는 위상 자성체에서 자성 특성을 효과적으로 조절할 수 있는 새로운 가능성을 제공하며, 향후 다양한 압력 제어 자성/전자적 소자 응용에 기초 정보가 될 것으로 기대된다.

Figure. a.Crystal and magnetic structures of Mn3Si2Te6. b. Schematic illustration of electronic structure modulation under pressure, c. Electronic structures at different spin orientation at a critical pressure. d, e. Temperature dependent resistivity at different pressures. f. Pressure dependent critical tempeature and activation nergy gap.
The band degeneracy protected by symmetry through magnetic ordering is a key element for realizing novel magnetotransport phenomena in topological magnets. Although spin-polarized nodal states are known to exhibit highly sensitive electronic responses to changes in magnetic order, their specific role in the magnetic ground state remains unclear. In this study, by utilizing external pressure as a tuning parameter, we demonstrate that in the topological nodal-line magnetic semiconductor Mn3Si2Te6, a metal-insulator transition, spin-reorientation transition, and structural distortion occur simultaneously as the nodal-line state crosses the Fermi level. These pressure-induced magnetic and electronic transitions are associated with a dome-shaped variation of the critical temperature Tc, which extends up to near room temperature, and are attributed to the interplay between spin-orbit coupled nodal states and magnetic frustration of localized spins. Our results open up new possibilities for effectively tuning magnetic properties in topological magnets where nodal-line states lie near the Fermi surface and provide foundational insights for future pressure-controlled magnetic and electronic device applications.
본 연구는 세계 최초로 아날로그 양자 시뮬레이터에 적용 가능한 범용 오류 정정 기법을 개발하고, 이를 이용하여 100개 이상의 큐비트로 구성된 다체 양자 얽힘을 성공적으로 측정한 혁신적 성과를 포함하고 있다. 이 결과는 기존 양자 시뮬레이션의 가장 큰 한계였던 높은 오류율 문제를 체계적으로 해결하는 방법을 제시하였으며, 이를 실제 중성 원자 기반 광격자 양자 시뮬레이터 실험에서 검증하여, 최대 100배 이상 증폭된 다체 양자 얽힘 신호를 관측하는 데 성공하였다. 특히 본 연구는 보즈-허바드 모델을 기반으로 고온 초전도체의 모트 절연 및 초유체 상전이 현상을 모사하는 데 성공하였으며, 비국소 브레인 질서변수(nonlocal brane order parameter)를 이용하여 두 상을 구분하고 이론적 예측과 일치하는 결과를 도출하였다. 고전적 오류 모델인 Z2 아이징 오류 모델을 도입하여 실험 시스템의 오류를 정량화하고, 이를 기반으로 실험 데이터를 정정하는 체계적 방법을 제안한 점이 특징이다. 오류 정정 전에는 144개 큐비트로 구성된 시스템의 비국소 양자 얽힘 신호가 이론 예측 대비 극단적으로 약화되어 있었으나, 제안한 오류 정정 기법을 적용함으로써 이론 예측과 일치하는 수준으로 신호를 복원할 수 있었다. 이 결과는 중성 원자 양자 시뮬레이터뿐만 아니라, 향후 고온 초전도체 메커니즘 연구, 신소재 및 신약 개발을 위한 대규모 양자 시뮬레이션에 필수적인 기술적 교두보를 제공할 것으로 기대된다. 본 연구 성과는 Physical Review X 2024년 1월호에 게재(게재 승인: 2023년 11월)되었으며, 동시기에 발표된 세계 최고 수준의 연구진(Max Planck Institute) 결과와 비교하여도, 4배 이상의 큐비트 수에서 양자 얽힘을 성공적으로 측정하는 등 우수한 성과를 입증하였다.

Figure. Experimental measurements from the neutral atom quantum simulator, and (b) the corresponding experimental data converted into pixel units. (c) Data after applying the error correction technique. The hatched pixels represent qubits whose values have been corrected by the error correction method. (d) Nonlocal many-body quantum entanglement values: the purple line indicates the theoretical prediction, the red circles represent the results before error correction, and the blue circles represent the results after error correction.
This study reports the world’s first development of a universal error correction method applicable to analog quantum simulators and demonstrates its effectiveness by successfully measuring many-body quantum entanglement involving more than 100 qubits. The proposed method systematically addresses the major limitation of conventional quantum simulations, namely the high error rates, and its validity was verified through experiments using a neutral-atom optical lattice quantum simulator. As a result, many-body quantum entanglement signals were amplified by up to 100 times compared to previous measurements. In particular, we have demonstrated that the error- correction-assisted experimental data successfully diagnosed the Mott insulator and superfluid phase transitions of the Bose-Hubbard model and distinguished the two phases using the nonlocal brane order parameter, achieving results consistent with theoretical predictions. A key feature of this work is the introduction of the classical Z2 Ising error model to quantitatively characterize errors in the experimental system, followed by the proposal of a systematic method to correct experimental data based on this model. Prior to error correction, the nonlocal quantum entanglement signal from a 144-qubit system was significantly suppressed compared to theoretical expectations; however, by applying the developed error correction technique, the signal was successfully restored to a level consistent with theoretical predictions. These results not only advance the capabilities of neutral atom quantum simulators but also provide a critical foundation for future large-scale quantum simulations aimed at understanding the mechanisms of high-temperature superconductivity and quantum spin liquids, discovering new materials, and developing novel pharmaceuticals. This work was published in the January 2024 issue of Physical Review X.
연구단에서 포항방사광 가속기의 4A2 포트에 구축한 스핀각도분해 광전자분광 장비는 2016년 말부터 외부 이용자 실험에 사용되어 왔으며, 시스템을 안정화시키고 신뢰도를 높이는 노력 또한 계속해 왔다. 2024년에도 주어진 97일의 빔타임을 100% 활용하여 외부 이용자 및 연구단 내부의 다양한 광전자 분광 실험을 수행하였다. 포항공대, 연세대, 서울 시립대, 부산대, 경상대, 카톨릭대, 표준연 등에서 39일간의 빔타임을 단층 칼코겐 화합물, 각종 TMDC 등의 전자구조 측정에 사용하였으며, 특히 서울대 김창영 교수 연구실의 주도로 MnTe altermagnetism을 밴드구조측정을 통해 최초로 확인하는 성과를 거두었다. (Phys. Rev. Lett.2024)
연구단 내부에서도 물성 그룹에서 제작한 Janus 시료를 비롯하여 엑시톤 절연체, 위상물질, TMDC 계열의 신물질 연구에 본 설비를 적극 활용하였다. 또한, 실험 영역의 확장을 위해 레이저 인덕션 장치와 스트레인 시료 홀더를 제작하고, 이를 UHV 챔버에 적용하여 테스트를 완료하였다. 그리고, 플라즈마 발생장치를 제작하여 실험에 적용하는 방안도 지속적으로 모색하고 있다.

Figure. (a) Spin-resolved ARPES spectra reveals spin-polarized Dirac cone of Bi2Se3. (b) ARPES measurement of Nb3TeI7 showing electronic structures for TeI3 and I4 terminations (c) Electronic band structures of 1T-TaS2-xSex for various Se concentrations (x = 0.0, 1.0, and 2.0) (d) In-plane strain control via screw rotation modulates band structure anisotropy, as seen in 1T-TaS2 Fermi surface maps under 0% and 1% strain.
Our spin- and angle-resolved photoelectron spectroscopy system is installed on 4A elliptical undulator beam line of Pohang Accelerator Laboratory and has been open for outside users from 2016. The system’s beamtime is 100 % used by ourselves and outside users from various research institutes of Korea. In particular, prof. C. Y. Kim’s group from Seoul National University measures the band structure of MnTe for the first time to validate the existence of altermagnetism in this material (Phys. Rev. Lett. 2024). Our own team investigated Janus van der Waals materials, topological semimetals, and TMDC crystals. We are also working on new sample systems to introduce strain in situ.
2023년 완성된 이래 성능향상과 운영의 안정성을 높여온 연구단의 dilution 냉동기 기반 극저온주사터널현미경이 Al 초전도체의 초전도갭 측정을 통해 주사터널현미경으로서는 세계 최저의 전자온도(75 meV 미만)에 도달하였음을 확인하였다. (Rev. Sci. Instrum. 2024) 이를 활용하여 연구단에서 연구를 진행하고 있던 전자상호작용이 매우 강한 이차원물질 1T-TaS2의 전자상태를 해당 온도에서 측정하여, 지금까지 보고되어 있지 않았던 모트-전하밀도파 갭내의 새로운 갭 구조를 확인하였다. 이 물질은 스핀여기의 갭의 없는 양자스핀액체로 추정되고 있어 해당 갭 구조에 대한 추가 실험을 진행할 예정이다. 아울러 2025년도에는 기존에 STM으로 측정된 바가 없는 매우 낮은 초전도 온도를 가지는 이차원 초전도체에 대한 극저온 터널 분광실험을 실시하여 본 장비의 역량을 최대한 보여주려 한다.

Figure. (Left) Demonstration of mK-STM Base Temperature. A dI/dV spectrum wasobtained on a superconducting single-crystal aluminum sample. From the Dynes fit, the electronic temperature was estimated to be 76 mK, which is significantly lower than that achieved by other groups using dilution-refrigerator-based STM systems. (Right) Topography of 1T-TaS2 and dI/dV spectroscopy below 100 mK. Individual atoms as well as the “Star-of-David” CDW modulations are clearly resolved. Owing to the mK temperature, energy resolution is significantly enhanced, allowing the observation of fine gap-like structures as small as a few µV whose origin is under investigation
A few of transition metal chalcogenides and Kagome materials have been intensively studied at the CALDES spin-ARPES end station in PLS-II. 1T-TiSe2 is a well-known low dimensional material with an exotic charge density wave (CDW), which competes with the superconductivity. We have clearly observed a novel band-selective dosing and the consistent CDW with real-time ARPES. Nb3TeI7 is a Kagome material with lowered symmetry by breathing. We have successfully observed distinct electronic structures at both sides and through the real-time XPS measurement, it is confirmed to have a large ambipolarity, invaluable property to realize vdW diodes and transistors.